INTRODUCTION TO BIBLICAL TIME
Scripture Verses are NKJV
Most people do not consider the Bible a time sensitive book. In reality it stands on an accurate passage of time; but it is much different than the calendar in use today, the Gregorian calendar. Herein lays a problem. This is because the English translation of the Bible uses the terms “years” and “months.” These terms are equated to how time is defined today. God uses a different system and for the majority of people this is why. Including accepted scholars of the Bible they do not know how the Bible tracks time. Because they are using the Gregorian calendar the results are timelines with no relevance to Biblical history or prophecies. The Bible records historical events by placing them in a specific time order based on a more accurate time clock. God’s clock is one that man is unable to change or falsify because God’s timeclock is based on the movements of the earth and moon as they traverse the sun.
The following is written to open eyes to the magnificent God who covers the history of His people in a perfect accounting by using individual days, beginning with creation week and coming forward in a seven-day week, beginning on Sunday and ending on Saturday, our present-day terminology.
In the pages of the Bible God gives an accurate accounting of man’s sojourn on this planet. It begins by tracking the first created man, Adam, as the progenitor of the human family, and continuing with Noah and his son, Seth. It follows with the life of Abraham and Sarah and their offspring, which continues on until the birth of the nation Israel at the exodus. God then follows with Israel until it is divided into two nations, Israel and Judah. Then Judah becomes the main line of history; concluding with the crucifixion of Christ; followed 40 years later by the destruction of Jerusalem in 70 AD. Along with this historical record God gives an accurate tracking of time; a precise account of when each of these events occurred.
Historical events, without understanding when they occur, have no basis to judge the importance of the event. God covers the events in the Bible, not only in years and months, but to the very day they occur. This is a magnificent tribute to the mind of God.
The following information is given to enable one to increase their faith by unlocking the Bible, making it a reality of how God tracks time. To make this important truth understandable it is imperative to establish the rules that God has made that control His calendar.
Not only has God left an accurate record of history, but through the inspiration of men, God has given accurate pronouncements of when critical events happened or are to happen. Without knowing how God tracks time it is impossible to understand the Bible, its history and its prophecies.
First, the rules that govern the Bible time cycles must be established before it can be understood how they function.
Four Rules of The Bible Calendar
The Bible tracks time using two methods. The solar year is the time it takes for the earth to travel about the sun and come back to its starting point. The second method is the tracking of the moon circling the earth as the earth is circling the sun known as moon month years.
Understanding the rules that determine what governs Bible time is the first step in following correct Bible chronology. There are only four rules which govern God’s Biblical Calendar—called the Hebrew calendar.
Rule #1
The first rule is the tracking of the seven days of creation—more correctly the first seven rotations of the earth from creation to the present week. This must be an unbroken line of seven revolutions from creation to the present week—Sunday through Saturday. It is important to know that these seven days are an independent count, not controlled or affected by years or months. However they do determine the beginning and ending day of every month and year, from creation to the present time.
The Bible calls these days by numbers: one, two, etc. Thus, it is important to know the number that gives the overall guidance, controlling the march of time. The cycle of the seventh day is one that God blessed and sanctified, setting it apart for weekly observation. God measured the first seven days of creation from sunset to sunset using whole days, unlike the present system of midnight to midnight.
Read the article “HOW GOD MARKS THE DAY” found at: https://www.biblicalcalendarproof.net/content/how-god-marks-day
Note: All references made to articles or videos can be found at: https://www.biblicalcalendarproof.net/
The count of the earth rotating never stops. Therefore, this first rule takes precedence over the remaining three rules. The basis for this is found in Genesis 2:2-3. No day can be added or removed from this count. Some will challenge that statement by pointing to either Joshua’s long day, or Hezekiah’s back tracking the day by ten degrees. That does not change the cycle of revolutions, but only temporarily stopped them. It is important to remember that revolutions are being counted in whole days, and not the hours of the day, as they are observed today. God called out the seven days of creation in Genesis chapters 1 and 2 and designated the seventh day as the weekly Sabbath. It is observed from sunset to sunset. Reference Joshua 10:12-13, and II Kings 20:10-11.
Rule #2
The second rule—being subject to the first rule—is the tracking of the moon as it circles the earth, as the earth travels around the sun. The Bible reads these cycles as months, which in fact, are moon months, not Gregorian months. These moon months are not solar based as are the Gregorian months, which are the division of the solar year into twelve parts. Moon months are independent of the solar year.
Taken from present day measurements the Average (Mean) Cycle Time of the Moon is 29 days, 12 hours, 44 minutes, and 3 seconds or 29.53059 days[1], with a variation of plus or minus 6.9 hours.[2]
The Math Determining the Hour Variation via Footnotes 1 & 2 Above
“During the 5000-year period covered in this catalog, there are 61841 complete lunations. The shortest lunation began on -1602 Jun 03 and lasted 29.26574 days (29d 06h 22m 40s; 6h 21m 23s shorter than the mean). The longest lunation began on -1868 Nov 27 and lasted 29.84089 days (29d 20h 10m 53s; 7h 26m 50s longer than the mean). Thus, the duration of the lunation varies over a range of 13h 48m 13s during this time interval.” The variation given is: 13h 48m 13s. Converting that directly to a decimal is: 0.57515. [13 hours divided by 24 = 0.541666667] added to [48 minutes divided by 1440 = 0.033333333] added to [13 seconds divided by 86,400 = 0.000150463] = 0.575150463. Long 29.84089 minus Short 29.26574 = 0.57515 = the variance. Multiply the variance by 24=13.806. Divide that number by 2 = 6.9018
This average time for the moon to circle the earth is the Synodic month. Thus, no month using whole numbers can ever be less than 29 days or greater than 30 days, which is what the Bible uses. Reference two articles:
- “Noah’s Flood & God’s Calendar”— https://bit.ly/2FCF7tD
- “Noah & Moses Reveal God’s Calendar”— https://bit.ly/2Eq346Y
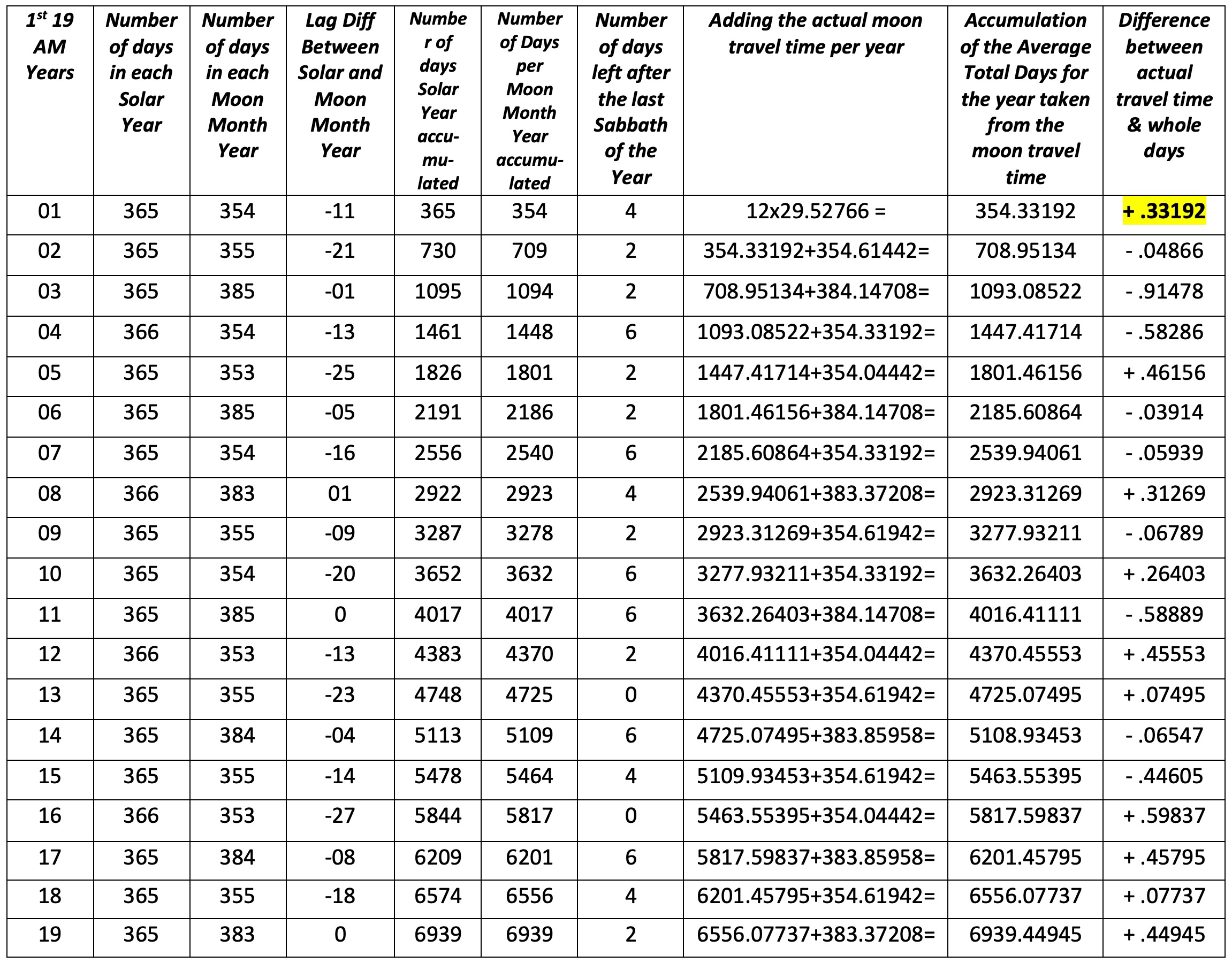
The number of days in each 19-year cycle varies from 6,939 to 6,941 days. The average for each 19 years cycle will have its own average different from the average moon-month for the accumulated 247 years. This is understood by taking the average travel time of the moon for the first 19 years of the calendar, which is 29.52766 days. Converting the variation of 6.9000 hours to a percentage of a day totals .2875. Subtract the variation of the moon travel, .2875 of a day. 29.52766 minus .2875 equals 29.24016, the shortest travel time, which is still greater than 29. Only the whole number 29 can be used. By adding .2875 to 29.52766 brings it to 29.81516. This is the longest travel time, hence 30 is the only whole number that can be used for this travel time. Because the average travel time is greater than one half of a day in both cases, the first month of every year must have 30 days, leaving the following month of 29 days. It is because the first month uses the fractional part of the second month to complete the 30 days, leaving the second month with 29 days. Therefore, no month can have less than 29 days or more than 30 days. The tracking is done in whole days of 29 or 30. This is the second rule.
It should be noted that for the first year, the year of creation the actual travel time of the moon-month will exceed the whole day count by .02766 of a day. The chart on page 9 will show this on the first line by the number .33192. When .33192 is divided by 12 it is .02766.
The starting and ending point of every month, and subsequently every year, is determined by the remaining days of the week as it reaches the next year. An example would be the creation year. The last Sabbath day of that year is on the 25th of the last month, which has 29 days. This leaves a remainder of 4 days; thus the first Sabbath of the second year is on the 3rd.
By using whole days, sunset to sunset, a discrepancy develops when measured against the actual travel time of the moon. This is shown on the chart on page 9 of this article, and it also demonstrates the balancing of whole days that the Bible uses are different from the travel time of the moon. This variance is shown in Column 10 of the chart.
RULE #3
The third rule is that the first seven months of every moon year must have the same rotation of months beginning with 30 days and ending with 30 days. The reason for this rule is that the average moon month length is greater than 29.5 days; rule #2, which results in a predictable rotation for observing these special days of Leviticus 23. Every year must comply! The starting and ending point is determined by the remaining seven day count on which the moon month is based. By making the first seven months a fixed count God has given man a repeatable system for the observation of these important High Day Sabbaths, giving him the opportunity to plan ahead for the observation of these days.
There are two sets of scriptures which demonstrate the principles of setting the first seven months of every year. They occur in the flood year of Noah, and the Exodus year of Moses. Both are 13 moon-month years, which is not apparent in casual reading of the scriptures. They show that every 13-month year, containing the maximum number of days, 385 are followed by 12 moon-month years that have the same rotation of days for the first seven months, supporting Rule #3. The flood year of 385 days is documented in the article “NOAH’S FLOOD AND GOD’S CALENDAR,” and in the video titled “THE YEAR OF NOAH’S FLOOD,” which is found under Media. It is confirmed by going to the Calendar Generator for the flood year, AM 1611 or BC year 2386. Here it can be seen that 1661 and 1662 have the first seven months with the same rotation of weekdays. This phenomenon occurs only when a 385-day year is required to comply with rule #4, and is also found in the story of the EXODUS TO THE FIRST PENTECOST, a written article, or Video #7 on the web site.
Quoting from the article/video THE EXODUS; “Now move forward to Exodus 16, a key chapter in anchoring the Timeline of the Bible. Verse 1, ‘And they journeyed from Elim, and all the congregation of the children of Israel came to the Wilderness of Sin, which is between Elim and Sinai, on the fifteenth day of the second month after they departed from the Land of Egypt.’ Just looking at this verse, and not connecting it to the subsequent events of God sending them manna, (bread from heaven,) for the following six days, He then pegged the seventh day, which followed the fifteenth as the Sabbath, when there was no manna to gather. Obviously, this makes the fifteenth a Sabbath. The Sabbaths for the second month would be on the 1st, 8th, 15th, 22nd and 29th. These Sabbaths occurring every seven days are shown to be directly connected to the seven days of creation by the same blue line in the solar year by a continuing rotation of seven days as proven by the Calendar Generator, found on this website.
They were told not to gather manna on the seventh day. If they could not gather manna, they also would not be breaking camp and traveling on the Sabbath. This means that each campsite after the crossing of the Red Sea called out in Exodus would be a Sabbath. It follows that the descending order of the Sabbaths of the first month would be on the 24th, 17th, 10th and 3rd, placing the Passover of Exodus 12 on a Wednesday, the 14th. This is the same day of the week on which our Savior was crucified as the calendar for AD 30 shows. The additional campsites recorded in Numbers 33; 9-15, the Red Sea, Dophkah and Alush were not Sabbaths.” End Quote.
The rotation of the Sabbaths shows the first month has 30 days and the second month 29 days, confirming the 30-29 rotation of months. Then go to Numbers 1:1. “Now the LORD spoke to Moses in the Wilderness of Sinai, in the tabernacle of meeting, on the first day of the second month, in the second year after they had come out of the land of Egypt, ...”
This places the first Sabbath of the second month of the second year on the first day of the month. Thus, showing a duplicate of Sabbath days for the first two years of the exodus, meaning the exodus year must have 385 days, just as the year of Noah’s flood. It can be confirmed by going to Chart #3, under the heading of HS, showing that the only duplicate days for the first Sabbath of the year will have a 13-month, 385-day year, followed by a 12-month year with the same Sabbath day rotation for the first seven months. [Rule 3.]
The directions of Leviticus 23 and the moon month year will be explained under the heading “NUMBER OF DAYS IN THE SACRED CALENDAR YEAR.”
RULE #4
Without breaking the first three rules, the largest number of days will be used to come closest to matching the solar year. This is the fourth rule, and occurs when the travel time of the previous month allows it. The attached chart of the first 19 years will show how this is accomplished. The solar year is the time it takes the earth to circle the sun and return to its original starting point. This time element is independent of the moon circling the earth. When totalling moon month years in whole days, over time they are slightly longer than the solar year, resulting in a gradual shift in the starting and ending of the moon month year compared to the solar year. Chart #6 shows this shift and can be seen when looking at the present year, which shows aproximately a 30 day shift to the fall.
It is by these four rules that the correct number of whole days is determined for each year of every 19-year time cycle. The 19-year time cycle is the time it takes in years for the earth and the moon to return to their original starting point relative to the sun found at creation, day one. This is known to astronomers as the Metonic cycle. It takes 13 of the 19-year cycles to complete the travel time that brings the earth and the moon back to their original starting points of creation, so that the last day of the last year is a Sabbath, and the first day of the next year is a Sunday. These 13 – 19 years cycles equal 247 years, at which time the system begins anew. Consulting Chart #3 shows a running account of these 13 cycles, from creation to the AD year 2204, and can be found at the website under the heading BIBLICAL RESEARCH. These counts are found under the heading C 19 for the 19-year count, and C 247 for the accumulated 19 year count of 13.
The Bible uses moon months; thus, the following will show how these months are determined, and how they are counted in moon years relative to the solar year.
AVERAGE TRAVEL TIME OF THE MOON IN THE FIRST 19 YEARS
The question should be asked: In man’s recorded history, has the rotation of the earth around the sun, or the cycling of the moon around the earth ever changed? Of course, the answer is “NO.” It means the following calculations are perfectly accurate as they are solely based on these movements.
The first nineteen solar years, and the first nineteen moon month years, contain the same number of whole days. This can be seen by going to the Calendar Generator for year AM 20, found at the website given above. The concluding red line for the year AM 19 will be found there as it joins to AM 20 year. This shows that the concluding day for the 19 moon month years are the same in number as the solar years. An example is that the first two moon month years of the Bible are twelve in number, totaling 709 days. The corresponding solar number is 730 days, leaving 21 days, allowing for the next year to be a 13-moon month year. This can be confirmed by the chart on page 9, under the heading Lag Difference Between the Solar and the Moon Month Years.
The Bible tracks time in either twelve or thirteen moon month years. The thirteen-moon month year only occurs when the travel time allows the additional month to be inserted. This exact thing is recorded in the Bible account of the flood. The year of the flood was 385 days in length as proven in the article “NOAH’S FLOOD AND GOD’S CALENDAR.” It should be read to confirm the 385-day year of the flood. Or watch the video “THE YEAR OF NOAH’S FLOOD.”
The first 19 years has 991 weeks x 7 days = 6,937 days. To reach the end of the year, which is the end of the 235th month two days must be added to 6,937 days, giving the total of 6,939 days. The average number of days of the moon months for the first nineteen years is 6,939 divided by the number of moon months - 235 equals 29.52766 days. This is the average time for the moon to circle the earth in the first 19 years.
The average length of the month by days is 29.52766 and is the average number of days per each moon month of the first 19 years. Broken down into its parts as:
29 days, 12 hours, 39 minutes, 49.8 seconds.
The variation for the longest and shortest moon month is 6.9 hours; divided by 24 = plus, or minus .28750 of a day. This variation is based on present day measurements taken from the Space Administration website.
The longest moon month average is 29.52766 days + .28750 days = 29.81516 days. Because the number is a little less than 30, 30 is the longest moon month length that can be used.
The shortest moon month average is 29.52766 days - .28750 = 29.24016 days. Because the number is still greater than 29, no number less than 29 can be used. Rule #2.
The average 12 moon month year = 12 x 29.52766 days = 354.33192 days. The whole numbers used would be 6 x 30, plus 6 x 29 = 354. The whole day number used is 354. The individual year contains its own average (unknown—nothing recorded—for the first 19 years of the creation.) The average length of the year used is plus or minus .28750 of a day. This represents the greatest or least possible time for the travel of the moon.
The longest 12 moon month year is 12 x 29.52766 days + .28750 days = 354.61942 days. Using whole numbers would be 7 x 30 plus 6 x 29 = 355. The whole day number used is 355.
The shortest 12 moon month year is 12 x 29.52766 days - .28750 days = 354.04442 days. Using whole numbers would be "5 x 30" + "7 x 29" = 353. The whole day number is 353. These whole number days are a function of Rule 2.
The average 13 moon month year is 13 x 29.52766 days = 383.85958 days. The average whole day number is 6 x 29 + 7 x 30 = 384. The whole day number used is 384.
The longest 13 moon month year is 13 x 29.52766 = 383.85958 days + 0.28750 days = 384.14708 days. Using the whole number 5 x 29 + 8 x 30 equals 385. The whole day number used is 385. (Remember the length of the flood year?)
The shortest 13 moon month year = 383.85958 days – 0.28750 days = 383.37208 days. Using the whole number 7 x 29 + 6 x 30 equals 383. The whole day number used is 383.
Time is observed in whole days, thus there is a differential in the six average moon length years as stated above. This follows Rule #2 because God’s Sabbaths are observed from Sabbath to Sabbath in whole days.
NUMBER OF DAYS IN THE SACRED CALENDAR YEAR
As defined in rule three the Bible calls out two types of special days that God commands His called-out ones to observe. These days are found in Leviticus 23, beginning in verse 3. “Six days shall work be done, but the seventh day is a Sabbath of solemn rest, a holy convocation. You shall do no work on it; it is the Sabbath of the Lord in all your dwellings;” The weekly Sabbath. This is a constant of the prime number seven in days, which are a count of the revolutions of the earth. We call these revolutions days. From the first day of creation to the present day, this count has never stopped, and is measured from sunset to sunset. The seventh day is the weekly Sabbath. These observations of the Sabbath are based on Rule #1. Remember, this is an unbreakable line of seven days on which all other time elements are based.
God also commands man to keep a second type of day, known as high day Sabbaths. They are not determined exactly by the travel time of the moon about the earth. But are fixed by the three rules as the earth travels around the sun, and are called moon months. These are different from the present-day Gregorian month – a division of the solar year. There are seven high days that are to be observed annually in the first seven months of every moon month year which contain twelve or thirteen moon months. These days are based on Rule 3.
These days begin with The Passover on the 14th day of the first month which occurs in the spring and is not a high day Sabbath as it does not require a convocation. Leviticus 23.5 “On the fourteenth day of the first month at twilight is the Lord’s Passover.” Although the Passover is not a high day, it does require observation annually as the New Testament of the Bible instructs, without the requirement of a holy convocation. Read the article FROM THE PASSOVER TO THE CROSSING OF THE RED SEA. Or watch the video with the same title.
Next is the first high day Sabbath: the first Day of Unleavened Bread on the fifteenth day of the first month as shown in Leviticus 23:6. Then the last Day of Unleavened Bread is on the 22nd day of the first month as recorded in Leviticus 23:8. Both of these days require a holy convocation: the coming together of the whole congregation on the first and seventh days of the Days of Unleavened Bread.
Pentecost—the Feast of Weeks—is counted from the first day (Sunday) of the week that occurs during the seven days of Unleavened Bread, called The Wave Sheaf Offering. This count is 50 days, which is also a Sunday. Leviticus 23:10-11, and 15-16. This is the third holy day to be observed. The article “PENTECOST, THE FORGOTTEN DAY” explains this day, and is important to those called of God The Father (reference John 6:44, 65).
The fourth holy day is the Feast of Trumpets, which is the first day of the seventh month. Leviticus 23:24-25.
The Day of Atonement is on the tenth day of the seventh month Leviticus 23:27-32, and is the fifth holy day.
The sixth holy day is in the seventh month, beginning on the fifteenth day through the twenty-first day and is The Feast of Tabernacles with a holy convocation on the first day. Leviticus 23:34-40.
The Last Great Day is the twenty-second day of the seventh month. Leviticus 23:36. This is the last of the annual holy days. To understand the importance of this day read the article: THE EIGHTH DAY.
Because the average time of the moon month is a little greater than one half, the first month in full days must have 30 days. If the first month is 30 days, the second month will be 29 days. God’s Word, The Bible, fixes the first seven months, beginning with a 30-day month, with the seventh month also having 30 days. The last month of the year must have 29 days because the first month always has 30 days. This is established by the time element of Exodus 12:1 through Exodus 16:26, and Exodus 19:1. The details of this will be explained later in this article.
The next step is to understand how these time periods are used in the Bible.
The following chart is for the first 19 years, beginning at creation and showing the whole day observation, vs the average calculated travel time of the moon. This is the most accurate that can be determined without an actual recorded history of the travel time for each year of the moon for this first 19 years of creation. Although the actual travel time of the moon for each year is unknown, the end result for year 19 is the same because the average is used. It is the Metonic cycle that brings the alignment of the moon, earth and sun every 19 years.

By closely exanimating the whole numbers it is found that they are the optimum result of following the four rules, thereby establishing the correct days for observing God’s weekly Sabbath and the High Day Sabbaths.
The number of whole days accumulated for AM 19 is 6939. There is an additional .6108 of a day not accounted for in these 19 solar years, which is because 19 AM is the third year before AM 20, a leap year. Under the heading of ACTUAL TOTAL DAYS OF MOON TRAVEL for year 19 AM, is 6939.44945. This conclusively shows the whole day count, which is what we observe, and it mirrors the travel time of the moon, not exactly as the chart shows, but still having a very close result.
There can be a variation as much as plus or minus a day from the new moon, or from the full moon, when measured against its actual travel time during these 19 years. Remember, the new moon, or the full moon, only occur in an instant of time, which under normal circumstances would be a point not readily visible to an ordinary man; it requires sophisticated measuring equipment. God has designed a system that predicts the correct days of observation, which are not directly controlled by the movement of the moon, but by the Biblical instructions that He gave in His Word. The practicality of this is clear. It allows man to plan ahead for the observation of these special days.
The last two moon months of every moon month year must have 30 days, followed by 29 days. The last moon month of the year does not always end on a Sabbath day. Remember, the Sabbath day runs independent of all other measurements of time. If there are any remaining days in the ending seven-day week they can only be the even numbers, 2, 4, or 6. If there are no days left, the digit left will be zero. Therefore, the first Sabbath of the next year must begin on the following odd numbered days of 1, 3, 5 or 7 to start the first moon month of the year. The ending numbers of the year are found in the fourth column marked “Number of days left after the last Sabbath of the year.” They can only be 0, 2, 4 or 6. This number is found by subtracting the last number in the red line of the last week of the year, from 29, the last day of the last month. This can be confirmed by going to the website and consulting the Calendar Generator for any year.
Because time is being tracked in seven-day increments, and the concluding month of every year must have 29 days, the month can only end on a Sabbath day, or have a remainder of 2, 4 or 6 days. In turn, this means that the first Sabbath of the following year can only be on the first, third, fifth or seventh day of the starting week of the first month of the next moon month year.
By placing the first Sabbath of any year on days one, three, five or seven, and knowing the count of seven Sabbaths to Pentecost, the number of days for the first moon month must be thirty, followed by twenty-nine. Here it is seen how the first rule of the seven-day count can never be broken, and that is because the observation of Pentecost is tied to the seven Sabbath count. It is confirmed by tracking the Sabbaths of Exodus 12 through Exodus 16. The article NOAH AND MOSES REVEAL GOD’S CALENDAR will explain this.
The following two charts, 7 and 8, were designed to show every conceivable combination that is possible in years by showing when the first month begins, having the first Sabbath on day one through seven of that first month. Thus charts 7 and 8 show every possible moon month year. These charts also show the only three possible year lengths: 353, 354 and 355 for the 12 “moon month” year. 383, 384 and 385 are for the 13 “moon month” year. These are the only possibility that exists in moon month year lengths in the 38 calendars shown. These charts mark the unusable years as NG because these years fail to start, or end based on the previous declaration in the paragraphs above.
It should be noted that the eighth and ninth months are adjusted to make up the shortfall, or excessive time that results from following the fixed number of days used in Leviticus 23. This is Rule #3. They are made using only 29- or 30-days following Rule #2. Chart #8 shows all of these same possibilities for a 13-month year. These changes are made in the eighth, ninth and tenth months based on the same principles as in Chart #7.
A point to marvel at is that after more than 6,000 years of God’s calendar, the moon dutifully appears for man to see at its designated times. Psalms 81:3-4 “Blow the trumpet at the time of the New Moon, (meaning first of the month) At the full moon, on our solemn feast day. For this is a statute for Israel, a law of the God of Jacob.” (Underlining my emphasis.)
Chart 7




Chart 8




The following chart shows the only day number of the first month that the first Sabbath of the month falls on. In turn, this places every high day Sabbath for that year. This is a very concise picture of what the result is when following rules #1, 2 and 3, which was determined by the inspired writing of Moses in the first five books of the Bible. Read the article: “MOSES AND NOAH REVEALED GOD’S CALENDAR.”

In contradiction to the orderly and Biblically based system that is established on the inspired writing of Moses, some will look to the term “new moon” as the determining factor for setting the correct days of the high day Sabbaths. I Samuel 20:15 uses the term “new moon.” It is the first time that this term is used, placing it around 500 years after Moses wrote the first five books of the Bible. It should give one pause to think more deeply about the sudden appearance of the term “new moon.”
There is eighteen times the single word for “month” (Strong’s #2320) is translated “new moon.” In contrast, it is translated “month” 400 times, which is the correct meaning. The Hebrew word for new is Strong’s #2319, and the word for moon is Strong’s #3394. These two words, stating new moon, are never found together in the Bible. Therefore, how can the translators take the word month and translate it into new moon? Their reasoning is based on a Jewish tradition that made much noise about sighting of the moon to determine the first day of the month, when they should have been looking to scripture where it is defined by Moses. Numbers 10:10 “Also in the day of your gladness, in your appointed feasts, and at the beginning of your months, you shall blow the trumpets over your burnt offerings and over the sacrifices of your peace offerings; ...” There is no mention of sighting the moon to make this determination because God gave Moses the math needed to determine when they were to blow the trumpet.
There is no place in either the Old or New Testament that defines the term “new moon.” What does the term mean, and at what point is it measured? By using this undefined term, “new moon” the translators unknowingly opened the door to speculation, and this is what happened in this case. It is especially true when dealing with any term that involves the passage of time the Bible states, having no defined beginning point by which a definite starting point can be established, making the term “new moon” unusable.
When this undefined term “new moon” is used, it causes some to believe it means when the moon is full. Some believe that the new moon occurs at the black, or when no moon can be seen. Others believe that it must be sighted from where you are located at the time. And still others believe it must be sighted from a particular location in Jerusalem. And among the last group there is disagreement about who should sight it and from where it should be sighted. All have a shadow of truth, but none are based on scripture. Therefore, they look to man’s thinking—tradition—rather than the Bible.
In contrast to the terms of the Hebrew Calculated calendar, as has already been defined, God gives an exact determination for the day – sunset to sunset. The week uses the day to measure time and is a count of seven days for each week. The moon months and their lengths are laid out through the careful tracking of time for the first and second years of the exodus. The account of Noah gives a 13-month length of year with the measured time of 385 days. In addition to having the known measurements of the travel time of the earth around the sun, and the moon around the earth as given by the present-day astronomers, it shows that these measurements fit perfectly into these Biblical accounts without missing a day.
All this is documented at the website by going to the Calendar Generator for the year of the flood, 1661 AM, and the two years of the exodus, 2519 and 2520. By looking at the account in Exodus 16 it is seen that the Sabbath days are on the 15th and the 22nd of the second month. This means that there is a Sabbath on the 29th with the following day being the first day of the third month showing, that the second month has 29 days.
Figuring back, the Sabbaths are 15, 08 and 01. By the description in Exodus 12 it is known that the Passover occurred on a Wednesday, the 14th of the month; thus placing the Sabbaths of the first month on 03, 10, 17 and 24. The first day of the second month is a Sabbath, showing the first month must have 30 days.
The Hebrew Calculated calendar is factually determined by Biblical scripture, making it the calendar that those called of God will be faithfully following.
It should be pointed out that without the work of those who came before, who spent their lives studying God’s word and building the foundation on which this work has been established; such as, Strong, Bullinger, Jamison, Fausset, Brown and others; but especially a little-known Jewish bookkeeper, E. H. Lindo who was a brilliant mathematician. He gave us the present list of cycles that is the foundation of God’s calendar. It is acknowledged that without their work this work could not have been accomplished. Ultimately our admiration goes to the Father, our God who planned this creation, putting man together cell by cell, and who granted me the gift of His Spirit that moved me to reveal the principals of how the Bible tracks time. This work ties every book of the Bible into an unbreakable chain of events based on the seven days of creation. The mind of man has a difficult time understanding how God can, through the lives of fallible men, record and put in place an accurate timeline for all to use; A timeline that is a mathematical and cylindrical proof that the Bible is the Word of God.
Don Roth April 18, 2022
[1] https://eclipse.gsfc.nasa.gov/SEhelp/moonorbit.html [4.2 Synodic Month & Figure 4-3]
[2] https://www.spikevm.com/calculators/conversions/decimal-day-hrs-min-sec.php [Decimal to Days Converter.]